Abstract
Introduction: Chronic inflammation has been suggested to be the driving force for clonal evolution and disease progression in the Philadelphia-chromosome negative myeloproliferative neoplasms (MPNs) but also potentially having an impact upon the development of accelerated (premature) atherosclerosis, which is recorded in several other chronic inflammatory diseases. Using whole blood gene expression profiling, we have previously shown massive deregulation of genes involved in oxidative stress. Importantly, we have also reported these genes to be favorably regulated during treatment with interferon-alpha2 (IFN). Herein, we report the favorable regulation of deregulated atherosclerosis genes by IFN as well.
Objectives: By whole blood gene expression profiling to investigate the regulation of atherosclerosis-promoting genes during treatment with IFN.
Methods: Global gene expression profiling was performed at baseline and after 3 months of treatment with IFN in 8 patients with ET, 21 patients with PV, and 4 patients with PMF. Hydroxyurea (n = 18) or anagrelide (n = 6) were discontinued 1 week prior to enrollment. The Affymetrix HG-U133 2.0 Plus microarray was used to generate gene expression profiles. Total RNA was purified from whole blood, amplified to biotin-labeled aRNA, and hybridized to microarray chips. Data preprocessing and statistical analysis of microarray data were done in R.
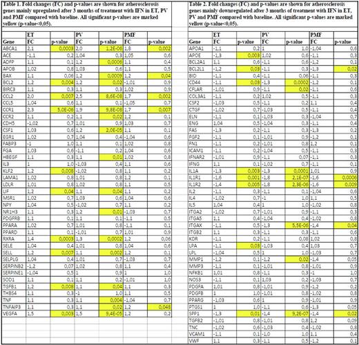
Results: Single gene analysis was performed on 84 genes represented on the Qiagen Human Atherosclerosis gene panel. In response to treatment with IFN in all three patient categories, 10 genes became upregulated in ET including ABCA1, BCL2, CCL2, CCR1, KLF2, LIF, SELL, TGFB1, RXRA, and VEGFA, and 8 genes became downregulated including APOE, BCL2L1, CD44, IL1A, IL1R1, IL1R2, LPA and SPP1. In PV patients, ABCA1, ADFP, BAX, BCL2, CCL1, CCR2, CCR2, CSF1, HBEGF, LIF, NR1H3, RXRA, SELL, TGFB1, TNFAIP3, TNF, and VEGFA were among the 17 upregulated genes, and CD44, CFLAR, IL1A, IL1R1, IL1R2, ITGAX, MMP1, and SPP1 among the 8 downregulated genes. In PMF, 5 genes became upregulated including ABCA1, BAX, CCL2, CCR1, and TNFAIP3, and 5 genes became downregulated including BCL2L1, IL1R1, IL1R2, ITGAX, and SPP1 (all P<0.05) (Table 1 and 2).
In a previous microarray study comparing another cohort of patients with ET, PV, or PMF with healthy controls, we have shown significant downregulation of the atherosclerosis genes BCL2, CCR2, CFLAR, FAS, IL1A, ITGA5, KLF2, NFKB1, PPARA, and SELPLG, and significant upregulation of BCL2L1, COL3A1, ELN, FGA, FGF2, IL4, IL5, KDR, LIF, MMP1, PDGFA, PDGFB, PDGFRB, PTGS1, SERPINE1, TGFB2, and THBS4 in all three disease entities (FDR<0.05). Comparing 3 months IFN treatment with baseline in ET, PV and PMF, COL3A1, ELN, FAS, FGA, FGF2, IL4, IL5, ITGA5, KDR, NFKB1, PDGFA, PDGFB, PDGFRB, PPARA, PTSG1, SELPLG, SERPINE1, TGFB2 and THBS4 were not significantly deregulated in any of the disease entities. Furthermore, IFN upregulated downregulated atherosclerosis genes including BCL2 (ET, PV), CCR2 (PV), and KLF2 (ET) and downregulates upregulated atherosclerosis genes including BCL2L1 (ET, PMF) and MMP1 (PV).
Discussion and conclusions: Atherosclerosis is a chronic inflammatory disease, which involves several circulating blood cells, including both leukocytes and platelets, which all are variably elevated in MPNs and normalized during IFN-treatment. Therefore, we speculated, if IFN might favorably impact deregulated atherosclerosis genes in patients with MPNs. Indeed, for the first time, we herein report that IFN impacts several atherosclerosis-promoting genes, including both significant upregulation and downregulation of key genes of importance during atherosclerosis development, plaque formation and rupture. Our results add novel important information in regard to the beneficial impact of IFN in regulating deregulated atherosclerosis-promoting genes of potential importance for the development of premature atherosclerosis and accordingly the heavy cardiovascular disease burden in MPNs. The significance of our observations in MPNs should be further explored and confirmed in other MPN-cohorts, including comparative studies of atherosclerosis gene signatures in atherosclerotic plaques from patients with and without MPNs being operated for occlusive vascular diseases and aneurysms.
Disclosures
Hasselbalch:Novartis: Consultancy, Other: Grants; AOP Orphan Pharmaceuticals: Consultancy, Other: Data monitoring board.
OffLabel Disclosure:
Treatment with Interferon-alpha2
Author notes
Asterisk with author names denotes non-ASH members.

This feature is available to Subscribers Only
Sign In or Create an Account Close Modal